V_e v_0 - a cdot t ve. A v v 0 t.

Physik Bewegungslehre Grundregeln
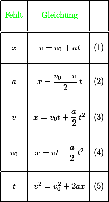
Beide Teilprozesse können somit getrennt.

Beschleunigte bewegung mit anfangsgeschwindigkeit formel. V v 0 a t Bremsen. S v_0 cdot t_0 v_0 cdot t_1 - frac 1 2 cdot a cdot t_12 s v0. 123 Beschleunigte Bewegung mit Anfangsgeschwindigkeit v v0 at v0 Anfangsgeschwindigkeit m s t Zeit s a Beschleunigung m s2 v Geschwindigkeit m s v0 v a t t v 0 a a v 0 t s s0 v0 t 1 2 at2 s0 Anfangsweg m v0 Anfangsgeschwindigkeit m s t Zeit s a Beschleunigung m s2 s WegAuslenkung m a 2ss 0v t t2 t v0 v2 0405as0s a s0.
V v 0 a t. Formeln bei gleichmäßiger Beschleunigung - Anfangsgeschwindigkeit 0 Diese Formeln gelten für eine konstante Beschleunigung bzw. V e v 0 a t.
Die Beschleunigung a des Körpers ist während der gesamten Bewegung konstant. 5 5 Sekunden. Zeige dass sich aus dem Zeit-Ort- und dem Zeit-Geschwindigkeit-Gesetz für die gleichmäßig beschleunigte Bewegung mit Anfangsgeschwindigkeit die folgende 4.
V0 v a t. MechanikKinematikBeschleunigte Bewegung mit Anfangsgeschwindigkeit. Hier findest du die wichtigsten Ergebnisse und Formeln für deinen Physikunterricht.
Berechnung mit der 3. T v v 0 a. Berechnung mit der 2.
V 0 v a t. WERDE EINSER SCHÜLER UND KLICK HIERhttpswwwthesimpleclubdegoWie berechnet man die Gleichmäßig beschleunigte Bewegung mit Anfangsgeschwindigkeit. T v v0 a.
Verzögerung wobei sowohl die Anfangsgeschwindigkeit als auch der Anfangsweg null sein müssen. Formel gleichmäßig beschleunigte Bewegung Geschwindigkeit-Zeit-Gesetz. 05 25 5 Sekunden.
Geschwindigkeit bei einer Bewegung mit einer Anfangsgeschwindigkeit v0 und einer Beschleunigung a lautet ganz analog zur gleichförmigen Bewegung. V v 0 a t. Der Weg ergibt sich wenn die Geschwindigkeit über die Zeit integriert wird plus den Anfangsweg.
25 25 Wurzel aus 25 5 Sekunden. Wird ein Körper mit vorgegebener Anfangsgeschwindigkeit verzögert dann gilt. Und damit der Spaß nicht zu kurz kommt gibt es die beliebten LEIFI-Quizze und abwechslungsreiche Übungsaufgaben mit ausführlichen Musterlösungen.
S v 0 t 0 v 0 t 1 1 2 a t 1 2. Um ein Auto handeln das mit einer bestimmten Geschwindigkeit fuhr und ab dem Zeitpunkt t 0 gleichmäßig abgebremst wird. Das Beispiel kann auch bei einer Anfangsgeschwindigkeit von 25 ms einer Verzögerung von 5 ms² und einem Verzögerungsweg von 625 m für die Berechnung der Zeit verwendet.
V 2 v 0 2 2 a x. Beschleunigte Bewegung mit Anfangsgeschwindigkeit. Man kann sich eine beschleunigte Bewegung mit Anfangsgeschwindigkeit also als zwei Prozesse vorstellen die gleichzeitig ablaufen ohne sich gegenseitig zu beeinflussen einmal die Bewegung mit der konstanten Anfangsgeschwindigkeit und einmal die Bewegung mit der konstanten Beschleunigung ohne Anfangsgeschwindigkeit.
V a t v0 v ist die Geschwindigkeit in Meter pro Sekunde ms a ist die Beschleunigung in Meter pro Sekunde-Quadrat. Die Geschwindigkeit ergibt sich durch eine Integration der Beschleunigung über die Zeit plus eine Anfangsgeschwindigkeit. Es liegt eine Bewegung mit Anfangsgeschwindigkeit vor bei der sich die Geschwindigkeit gleichmäßig verringert.
Im Grundwissen kommen wir direkt auf den Punkt. V v 0 a t. Es könnte sich zB.
So kannst du prüfen ob du alles verstanden hast. Man berechnet diese Beschleunigung a indem man für eine beliebige seit dem Start der Bewegung erreichte Geschwindigkeit v diese Geschwindigkeit durch die seit dem Start der Bewegung vergangene Zeit t dividiert. V v0 a t.
A t.

Physik Mechanik Stop And Go Mechanik Physik Telekolleg Br De

Zusammengesetzte Bewegungen Mathe Brinkmann

Geschwindigkeit Beschleunigung
Freier Fall Weg Zeit Und Geschwindigkeit Berechnen

Beschleunigung Berechnung Und Beispiel Mit Video

Gleichmassig Beschleunigte Bewegung Einfach Erklart Mit Video Mit Video

Gleichmassig Beschleunigte Bewegung

Zusammengesetzte Bewegungen Mathe Brinkmann

Horizontaler Wurf Bahngleichung Und Wurfweite

Woher Weiss Man Bei Der Gleichmassig Beschleunigten Bewegung Welche Formel Man Nehmen Muss Schule Physik Mechanik
Http Lie Perihel Ch Aufgaben Mechanik Kinematik Konst Beschleunigung Pdf
Beschleunigung Berechnen Formel Zur Berechnung Der Beschleunigung

Was Ist Der Unterschied Zwischen Diesen Bewegungen Physik Schule Bewegung

Gleichmassig Beschleunigte Bewegung Mit Anfangsgeschwindigkeit Youtube

Zusammengesetzte Bewegungen Mathe Brinkmann

Berechnung Von Geschwindigkeit Bei Einer Gleichmassig Beschleunigten Bewegung Schule Physik Formel

Bewegungen Mit Konstanter Beschleunigung Grundwissen Physik
Https Silo Tips Download Zu 21 I Wiederholungsaufgaben Zur Beschleunigten Bewegung

Senkrechter Wurf Nach Unten Erklarung Ubungen
![]()
Gleichmassig Beschleunigte Bewegung Physik Schule

Beschleunigte Bewegung Physik Hilfe Schule Mathematik Formel
Bewegungen Mit Konstanter Beschleunigung Grundwissen Physik

Zusammengesetzte Bewegungen Mathe Brinkmann

Kinematik Ubersicht Uber Die 12 Formeln Der Gleichmassig Beschleunigten Bewegung Aus Ruhelage Youtube
![]()
Formel Gleichmassig Beschleunigte Bewegung Strecke Beschleunigung Geschwindigkeit Zeit
Https Physikdidaktik Com Wp Content Uploads 2019 06 Arbeitsblaetter Kinematik Pdf
Beschleunigung Berechnen Formel Zur Berechnung Der Beschleunigung

Gleichmassig Beschleunigte Bewegung
Bewegungen Mit Konstanter Beschleunigung Grundwissen Physik

Physik Mechanik Stop And Go Mechanik Physik Telekolleg Br De

Www Physik Fragen De Gleichmassig Beschleunigte Bewegung
Geschwindigkeit Zeit Gesetz Bei Der Gleichmassig Beschleunigten Bewegung Mit Anfangsweg Und Anfangsgeschwindigkeit

Verzogerte Bewegung Bremsweg Berechnen Alle Formeln Online Rechner Simplexy
![]()
Geschwindigkeit Zeit Diagramme In Physik Schulerlexikon Lernhelfer

Kurzprufung Formeln 1ab 18 4 2002 Name 1 Fullen Sie Die
Weg Zeit Gesetz Bei Der Gleichmassig Beschleunigten Bewegung Mit Anfangsweg Und Anfangsgeschwindigkeit

Gleichformige Bewegung Wikipedia

Formeln Fur Geschwindigkeit Beschleunigung Weg Zeit Johannes Strommer

Formelsammlung Gleichformige Geradlinige Bewegung Unterrichtsmaterial Im Fach Physik Formelsammlung Physik Lernen Physik

Gleichmassig Beschleunigte Bewegung

Die Gleichmassig Beschleunigte Bewegung Mathe Brinkmann

Zusammengesetzte Bewegungen Mathe Brinkmann

Physik Formeln Verbinden Formel Gleichmaessig Beschleunigte Bewegung

Berechnen Der Einzelnen Strecken In Einem V T Diagramm

Rezept Zum Vorgehen Beim Bearbeiten Von Physikaufgaben

Gleichmassig Beschleunigte Bewegung Mit Anfangsgeschwindigkeit Youtube

Bewegungen Mit Konstanter Beschleunigung Grundwissen Physik

Zusammengesetzte Bewegungen Mathe Brinkmann

Beschleunigte Bewegung Gleichformige Bewegung Formel

Zusammengesetzte Bewegungen Mathe Brinkmann

Zusammengesetzte Bewegungen Mathe Brinkmann

Zusammengesetzte Bewegungen Mathe Brinkmann
![]()
Gleichmassig Beschleunigte Geradlinige Bewegung In Physik Schulerlexikon Lernhelfer

Bewegungen Mit Konstanter Beschleunigung Grundwissen Physik

Blip Bruckenkurs Physik Noch Mehr Aufgaben Zu Gleichformig Beschleunigte Bewegung

Senkrechter Wurf Nach Oben Erklarung Ubungen

Beschleunigung Berechnung Und Beispiel Mit Video

Physik Kinematik Gleichmassig Beschleunigte Bewegung Weg Zeit Gesetz Herleitung Youtube

Physik Mechanik Stop And Go Mechanik Physik Telekolleg Br De
Beschleunigung Berechnen Formel Zur Berechnung Der Beschleunigung
Http Wwwiexp Desy De Users Uwe Holm Salehi Ws07a Pdf

Beschleunigung Berechnung Und Beispiel Mit Video

Formeln Fur Geschwindigkeit Beschleunigung Weg Zeit Johannes Strommer
![]()
Formel Gleichmassig Beschleunigte Bewegung Strecke Beschleunigung Geschwindigkeit Zeit

Formeln Der Gleichmassig Beschleunigten Bewegung Schule Mathe Physik

Mechanik Kinematik Beschleunigte Bewegung Mit Anfangsgeschwindigkeit

Physik Bewegungslehre Grundregeln

Bewegungen Uberblick Erklarung Ubungen
![]()
Physik Klausur Lernstoff Studocu

Gleichmassig Beschleunigte Bewegung

Bwwegungen Mit Beschleunigung Mehrere Formeln Fur Geschwindigkeit V Mathematik Physik Abitur
Die Gleichmassig Beschleunigte Bewegung Berechnen

2 Bewegung Mit Konstanter Geschwindigkeit

Hilfe Bei Physik Beschleunigte Bewegung Mit Anfangsgeschwindigkeit Schule Mathematik Rechnung

Bremsvorgang Gleichmassig Verzogerte Bewegung Inkl Ubungen

Alle Formeln Gleichmassige Und Gleichformige Bewegungen Ubersicht Youtube
![]()
Gleichmassig Beschleunigte Bewegung Einfach Erklart Mit Video Mit Video

Geschwindigkeit Berechnen Bei Ungleichformiger Bewegung

Beschleunigte Bewegungsablaufe In Diagrammen Learnattack

Gleichmassig Beschleunigte Bewegung Wissen4free Org

Beschleunigung Gleichmassig Beschleunigte Bewegung Physik Mechanik Lehrerschmidt Youtube

Allgemeine Bewegungsgleichungen Und Vektorielle Grossen
Http Schule Mallinckrodt Gymnasium De Physik Formel Pdf

Blip Bruckenkurs Physik Noch Mehr Aufgaben Zu Gleichformig Beschleunigte Bewegung







